P5659 [CSP-S2019] 树上的数
这是 Pomelorin 讲课用的讲义。因为是用 Markdown 写的,所以可以直接复制在这里。
P5659 [CSP-S2019] 树上的数
闲话
既然我们又分到了一个黑题,自然要创新一下讲课形式——不用 PPT,而是用讲义!
或者说,因为这个题兼具思维难度性和代码复杂性,而 PPT 的形式不方便展示代码,所以就用了这个形式。
然后
除非大佬们开了防火墙,“文件接收柜”里面应该已经有了今天讲课的资源包。本讲义有很多提问环节,如果大佬们同步看的话,请不要偷看答案哦!
由于讲课的人水平所限,可能有不清楚或者错误的地方,欢迎指出!
插一嘴,Typora 这个 Markdown 编辑器真好用!
题意
给定一个大小为 \(n\) 的树,它共有 \(n\) 个结点与 \(n - 1\) 条边,结点从 \(1 \sim n\) 编号。初始时每个结点上都有一个 \(1 \sim n\) 的数字,且每个 \(1 \sim n\) 的数字都只在恰好一个结点上出现。
接下来你需要进行恰好 \(n - 1\) 次删边操作,每次操作你需要选一条未被删去的边,此时这条边所连接的两个结点上的数字将会交换,然后这条边将被删去。
\(n - 1\) 次操作过后,所有的边都将被删去。此时,按数字从小到大的顺序,将数字 \(1 \sim n\) 所在的结点编号依次排列,就得到一个结点编号的排列 \(P_i\)。现在请你求出,在最优操作方案下能得到的字典序最小的 \(P_i\)。
.png)
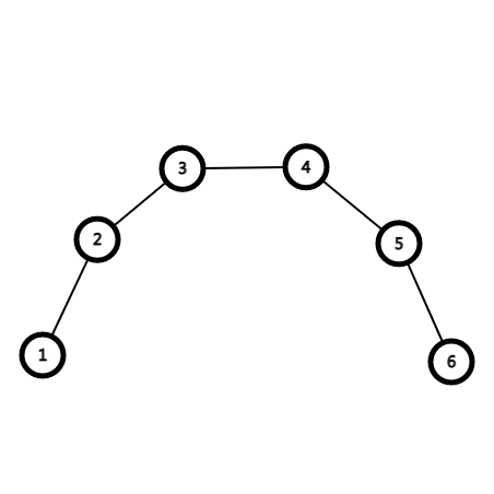
如上图,蓝圈中的数字 \(1 \sim 5\) 一开始分别在结点 ②,①,③,⑤,④。按照 (1),(4),(3),(2) 的顺序删去所有边,树变为下图。按数字顺序得到的结点编号排列为 ①③④②⑤,该排列是所有可能的结果中字典序最小的。
.png)
数据范围
| 测试点编号 | \(n \leq\) | 特殊性质 |
|---|---|---|
| \(1 \sim 2\) | \(10\) | 无 |
| \(3 \sim 4\) | \(160\) | 树的形态是一条链 |
| \(5 \sim 7\) | \(2000\) | 同上 |
| \(8 \sim 9\) | \(160\) | 存在度数为 \(n - 1\) 的结点 |
| \(10 \sim 12\) | \(2000\) | 同上 |
| \(13 \sim 16\) | \(160\) | 无 |
| \(17 \sim 20\) | \(2000\) | 无 |
对于所有测试点:\(1 \leq T \leq 10\),保证给出的是一个树。
点击查看题解
题解
本题解是把 luogu
的各个题解缝在一块,而形成的题解。我是裁缝。
0x00 前置知识
- 生成全排列
- 并查集
- 链表
- 贪心
生成全排列
这个我们不必多说吧,诸位大佬肯定都会。通俗来讲,就是通过 dfs 在每一位填数字。
并查集
建议看某菜鸡的 Blog。
链表
一般而言链表都是用指针写的,用数组模拟有你好受的。而指针是个神奇的东西,对初学者极不友好。其实也没啥好说的,就问问你当年是怎么理解链式前向星的。
主要有以下几点:
- 存储每个节点的地址,且每个节点都有后继的地址;
- 必要时也可以储存指向自己前驱的地址;
- 用指针时要注意边界的判断。
话说大家真的彻底明白链式前向星的工作原理了吗,当初为了理解这东西我费了九牛二虎之力。
其实本题可以用链表做。由于时间有限,赶不出利用链表实现的代码。
贪心
可以当作进阶的 DP。然而,这需要严格证明。
0x01 暴搜
用 \(O(n!\times n)\) 的时间复杂度,得到删边顺序的全排列,再进行模拟,更新答案。这样您就可以得到 10 分了(考场很少有能超过 10 分的人,可以认为是考场满分解)。
相信大家都会生成全排列吧(不会吧不会吧,不会真有人不会吧)。
想拿这 10 分,可不容易。一些注意事项:
注意输入输出格式。做题不审题不是好习惯。
第二行 \(n\) 个整数,第 \(i\) (\(1 \leq i \leq n\)) 个整数表示数字 \(i\) 初始时所在的结点编号。
将数字 \(1 \sim n\) 所在的结点编号依次排列,就得到一个结点编号的排列 \(P_i\)。求出在最优操作方案下能得到的字典序最小的 \(P_i\)。
注意模拟时,交换的是一条边两端的数字,所以注意枚举的是 \(n-1\) 的全排列,交换也是枚举到 \(n-1\)。
下面是代码。
1 | namespace Force//暴力 |
0x02 菊花图
菊花图有一些比较友好的特性。设菊花图的花心是 \(u\),与其相邻的点是 \(x_i\)。发现在删边时,\(x_i\) 固定了 \(u\) 的值(因为 \(x_i\) 除了 \(u\),与其他的点没有任何关系,既然边 \(<u,x_i>\) 被删掉了,那么这个点的数值也就不会被改变了),而 \(x_i\) 原先的值到了 \(u\),等待下一次被固定。
结合下面的动图进行理解。
.gif)
容易发现,这个过程有点像一个环。假如将拆边描述为一个排列 \(p_1,p_2,...,p_{n-1}\)(\(\forall1\le i<n ,p_i\not=u\)),也就是说,你按顺序拆掉了 \((u,p_1),(u,p_2),..,(u,p_{n-1})\),那么最后,原来根上的数字 \(a_u\) 会去到 \(p_1\),原来 \(p_{i}\) 上的数字 \(a_{p_i}\) 会去到 \(p_{i+1}\),原来 \(p_n\) 上的数字 \(a_{p_n}\) 会去到 \(u\)。如果我们将点按照 \((u,p_1,p_2,\dots,p_n)\) 的顺序排成一个环的话,整个操作就相当于将每个点上的数字向后移了一位。
而本题目标肯定是尽量把最小的数字给转移到最小的编号上,而且转移的方案(即转移路线)有且仅有一个。
于是很容易地想到一个贪心的构造环(构造拆边顺序)的方法。
按照 \(1,2,3,...,n\)(数字) 的顺序,每个数字从自己所在的点选择在环上面的下一个点(就是说这个数字要搬运到哪里)。那么每次在合法的情况下选标号最小的节点即可。这个方法非常重要,因为后面的解都用到了这个思路。
那如何判断合法呢?
建一个新图。把“搬运点”的过程,当做是连边。就像动图一样,如果一个点 \(x\) 上的数字要搬运到点 \(y\),就在新图上连一条有向边 \(<x,y>\)。我们容易发现,一个点只能最多有一条入边,一条出边,这样才是合法的。比如,\(x\rightarrow y\rightarrow z\) 是合法的,因为点 \(x\) 上的数字到达点 \(y\) 时,\(y\) 上的数字又正好到达了 \(u\),就可以到达 \(z\) 了。如果从一个点发出多个有向边,或多个有向边指向一个点,这很明显是不合法的。
相信各位大佬都已经看出来了,这样在新图中会出现许多链。并且,在最后还会形成一个大环。这样,就和我们前面所述的拆边过程契合了。
所以,在环还没有封闭的时候,请注意它们都还是一些链,所以不要出现提前成环提前自闭的情况,并保证最后会出现一个大环而不是若干个小环。
利用用并查集维护,方便地判断是否成环。
下面是代码。时间复杂度是 \(O(n^2\alpha(n))\)。
1 | namespace Flower |
想必各位大佬已经发现了,读进来的图似乎压根没用到!除了骗分。
原因是,我们对于菊花图上的所有节点,都是一视同仁的。节点 \(u\) 也是符合“一个点只能最多有一条入边,一条出边”的限制的。
0x03 链
链有一些比较友好的特性。它是一条类似于线的东西;除了两个端点之外,其他的点度都为 2。
由于特性 1,我们可以以数组的形式方便地进行处理。我们先找到链首(度为 1 的点),进行 dfs,利用 dfs 序来得到点在链中的先后次序,进行处理。
由于特性 2,先抛开特殊的端点不谈,每个点都有两条边相邻。可以保证的是,两条边的删除次序是有时间的先后的。所以我们可以想到,给每个点一个标记,标记左右两边的删除次序,或者说优先级(无限制或未知,左先右后,左后右先)。这里的优先级实际上就是一种拓扑序。
提问一下:比如说左先右后,一定是左面的边删掉后接着就删右面的边吗?
下面举个例子来说明这个优先级。
.png)
比如说在 2 上面的数字要去 5:
- 它离开 2 时,需要保证边 \(<2,3>\) 在边 \(<1,2>\) 之前先被删,否则它就跑到 1 上面去了。
- 在它被运送途中,需要保证边 \(<2,3>\),\(<3,4>\),\(<4,5>\) 被先后删除,不能颠倒。
- 它到达 5 时,需要保证边 \(<5,6>\) 在边 \(<4,5>\) 之前先被删,否则它就跑到 6 上面去了。
这是往右走的情况,往左的情况可自行推导,其实不难(这里要提问一下)。
而最后,我们判定一个方法是否可行,只需要判断它和前面的点的标记是否冲突即可。
下面是代码。时间复杂度是 \(O(n^2)\)。
1 | namespace Chain |
0x04 正解
本人已死,有事烧纸。
想必各位巨佬已经不屑于停滞在部分解了 。
想必各位巨佬已经发现了:一个点的邻接边抽象成点后,用有向边表示删除先后关系的话,形成的总是一堆链。这可以通过菊花图认识到这一点。
想必各位巨佬已经发现了:只有共用同一个顶点的边才有删除的先后关系。这可以通过链认识到这一点。
那么恭喜你,链和菊花的做法对我们硬刚正解有很大的启发(正解细节众多,一部分听不懂也没关系,上面加粗的两句话不明白为什么也没关系,后面会讲。建议结合毒瘤的代码来理解)。
那么,我们由链维护边的删除次序想到:能否将这样的维护扩展到多条边的情况?其实是可以的不然我为什么要问这个问题。上面已经说了,只有共用同一个顶点的边才有删除的先后关系。
直接讲有点费事,下面结合图来理解。
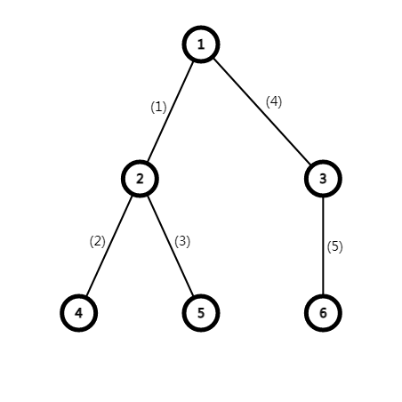
.png)
我们要将 1 上的数字搬到 4。容易发现:
- 的优先级是与 1
号点相邻的边中最大的。
要不你想搬个寂寞啊。
- 的优先级是与 1
号点相邻的边中最大的。
- 的优先级是与 3
号点相邻的边中最小的。
要不到手的鸭子飞了。
- 的优先级是与 3
号点相邻的边中最小的。
这样对吗?
不对!
为什么不对?下面是提问环节!
\[ \quad \]
经过一番研讨,我们发现:
- 删完 (1) 接着必须删 (2)。
要不它就被别人抢去了。
我们神奇地发现,这些条件限制,只需每个点都维护边的删除优先级就可以了!换句话说,只有共用同一个顶点的边才有删除的先后关系。严谨地说,这些限制都是应用在某一点的几条边中的,因此可以单独考虑每个点的情况。
想必各位巨佬已经发现了:维护每个点,不就相当于每个点都是菊花图吗?于是就形成了菊花树,一起来看菊花!
是的。我们在做菊花图时,开了个并查集来维护边的删除次序。想必各位巨佬已经知道了:我们要对于每一个点,都要开一个冰茶几并查集!
那么,对于多个删边的先后关系,我们将它们的边抽象成一个点,删边的先后、紧邻次序抽象成连边,发现它有点像链。
但是这里有个问题:如果一个点删除边的顺序不一定是连续的怎么办?
对于这种情况,我们只需要把它们看成有许多个链,但是它们没有接在一起即可。换句话说,一个点的邻接边抽象成点后,用有向边表示删除先后关系的话,形成的总是一堆链。
情况与单链类似,对于一个数字 \(k\) 从起点移动至终点,在路径上有一下几个很重要的性质。有没有大佬总结一下?
别忘了说为什么。
可以根据前面所述,提炼一下。
当大家弄明白之后我们可以继续了。以上一定要明白,下面的得靠自己的修为了。
揭晓答案——几个很重要的性质:
- 对于起点,其出边一定是这一点第一条被删掉的边。 如果不是,则 k 会被换到其他点上。
- 对于终点,其入边一定是这一点最后一条被删掉的边。 如果不是,则 k 也会被换到其他点上。
- 对于中转点,其入边先于出边被删,且在该点的所有边里被删除的顺序是相邻的。 如果不满足,则在中间,数字 k 会被换到其他点上。
思路依然是暴力枚举每个数字,从这个数字的初始位置开始 dfs ,检查路径上的点是否可以作为中转点或终点即可。
这里是这个题的实现中最难的位置,即检查是否满足中转点或终点的条件。这里,使用了并查集来管理边的关系,存储某个点的边的限制连成的链式结构。
对于”几个很重要的性质“的前两个,我的做法是对每一个并查集建了一个虚点,如果一条边的优先级最大,那么由虚点向它连一条边,如果一条边优先级最小,则由它向虚点连一条边。这样就很好搞了。
必须上代码,结合代码讲一讲,否则真的难以理解。必要时画图。理解确实得靠自己的修为了。
时间复杂度是 \(O(n^2\alpha(n))\)。
1 | namespace Perfect |
还活着的人举一下手。
0x05 总结
通过这题大家可以发现,此题正解与部分分是紧密相连的,如果没有对部分分的思考,很难直接想到正解。
这启发我们当无法直接想到正解时,可以思考一些此题的部分分,找到部分分与正解之间的联系,进而以迂回的方式找到正解。一些人因过于追求正解,直接跳过部分分思考正解,结果反而无法得到正解。
对于我这种蒟蒻来说,只会 10 分的暴搜。
代码
实在不行就复制,粘贴!恭喜你 A 了此题!
1 |
|